Just in time for your “Christmas in July,” a new study published in the prestigious journal JAMA (free full text here) tells us how we should eat to help “keep it off” or maintain our energy expenditure in a healthy way. As many people can attest, (temporarily) losing weight can seem easier than maintaining that weight loss. This is because the body acclimates to weight loss by reducing its energy expenditure (kinda like conserving water in times of drought). This new study looked at how different types of diets affect energy expenditure after a period of weight loss. So, let’s get into the details.
What did they do? They recruited 21 folks who were overweight or obese
(mean BMI of 34.4) and between 18-40 years old. They had them go through a 4 week baseline period followed by a 12 week weight loss program to achieve at least a 10% weight loss. Following the weight loss, there was 4 week weight stabilization period before participants tried three types of diets that were matched on caloric content for four weeks each in a randomized order. The main outcome measure was resting energy expenditure, with secondary measures of total energy expenditure, hormone levels, and metabolic markers.
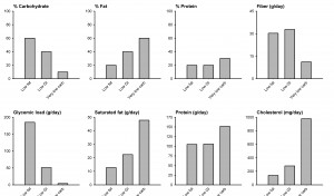
So what did these three maintenance diets look like? The three diets included a low-fat diet (what most people will tell you to eat - whole grains and lean meats); a low glycemic index diet (avoiding foods that spike blood sugar levels and insulin release); and a very low carbohydrate diet. This figure shows the major differences between the three diets using data from the paper.

- Differences between the three diets (adapted from Table 1 of the paper). Click on the figure for larger view.
What did they find? First, as expected, losing weight resulted in reductions in resting and total energy expenditure (see below). However, eating the very low carb diet resulted in the smallest decreases in energy expenditure from the pre-weight loss baseline. And (this is almost too good to be true), these differences in energy expenditure were not due to differences in physical activity. In fact, while on the very low carb diet, folks had higher energy expenditure in spite of engaging in less physical activity!

Energy expenditure and physical activity (adapted from Table 3 of the paper). Click on the figure for a larger view.
Second, what happened to all of the markers that we might worry about when one is eating the very low carb diet that is high in saturated fat and cholesterol and low in fiber? Well, the results below show that insulin sensitivity was best on the very low carb diet, HDL (good) cholesterol was best on the very low carb diet, triglycerides were best on the very low carb diet, and systolic blood pressure was not best, but markedly improved relative to pre-weight loss on the very low carb diet. So far, so good…
But of course, nothing is perfect and the authors note that C-reactive protein (a marker of inflammation) tended to be higher with the very low carb diet and urinary cortisol (a marker of stress) was higher on the very low carb diet. Nonetheless, leptin levels were quite improved and the authors note that participant ratings of hunger and well-being did not differ between the three diets.

Additional biomarkers on the three diets (adapted from Table 3 of the paper). Click on the figure for a larger view.
So, what do we take away from this? This study has several strengths in that it included an initial weight loss phase with baseline assessments, the presentation of the diets was randomized, and the study used a crossover or within-subjects design so each person could serve as his/her own control. However, there are also several limitations, which include the relatively small sample size (N=21) and the relatively short duration of the test diets (4 weeks). It would be interesting to see longer-term results in a larger sample of people, but it is also always easier to design a perfect study than to conduct one.
As for the conclusions, we’ll leave it to the authors:
“In conclusion, our study demonstrates that
-
commonly consumed diets can affect metabolism and components of the metabolic syndrome in markedly different ways during weightloss maintenance, independent of energy content.
-
The low-fat diet produced changes in energy expenditure and serum leptin that would predict weight regain. In addition, this conventionally recommended diet had unfavorable effects on most of the metabolic syndrome components studied herein.
-
In contrast, the very low carbohydrate diet had the most beneficial effects on energy expenditure and several metabolic syndrome components, but this restrictive regimen may increase cortisol excretion and CRP.
-
The low–glycemic index diet appears to have qualitatively similar, although smaller, metabolic benefits to the very low-carbohydrate diet, possibly without the deleterious effects on physiological stress and chronic inflammation.
-
These findings suggest that a strategy to reduce glycemic load rather than dietary fat may be advantageous for weight-loss maintenance and cardiovascular disease prevention.
-
Ultimately, successful weight-loss maintenance will require behavioral and environmental interventions to facilitate long-term dietary adherence.”
And, that’s what we do here at Dan’s Plan. Cheers to these authors for a really great and important study.
Have a Happy (and safe) Fourth of July folks!

